What happened to the Messenger Plus! forums on msghelp.net?
Shoutbox » MsgHelp Archive » General » General Chit Chat » Calculus integration problem. please help.

Pages: (4): « First [ 1 ] 2 3 4 » Last »
Calculus integration problem. please help.
Author: Message:
Rubber Stamp
Senior Member
****

Avatar
It Was Never Random

Posts: 584
Reputation: 14
36 / Male / –
Joined: May 2004
O.P. Calculus integration problem. please help.
can someone please solve this integration problem for me? i have been trying it since a week, gone mad trying to solve it. please help.
(ps: its solvable. answer exists.)
[Image: intekd9.jpg]

edit: "x.x" means x square.

This post was edited on 10-13-2006 at 11:11 AM by Rubber Stamp.
10-13-2006 11:11 AM
Profile E-Mail PM Find Quote Report
Rubber Stamp
Senior Member
****

Avatar
It Was Never Random

Posts: 584
Reputation: 14
36 / Male / –
Joined: May 2004
O.P. RE: Calculus integration problem. please help.
could some one do it?
plz reply.
10-14-2006 06:11 PM
Profile E-Mail PM Find Quote Report
andrewdodd13
Senior Member
****

Avatar
Oh so retro

Posts: 869
Reputation: 16
35 / Male / Flag
Joined: Jan 2005
RE: Calculus integration problem. please help.
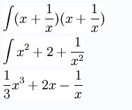
Well... the square root of x^2 1/x^2 is just x + 1/x isn't it?

So...

[Image: attachment.php?pid=742222]

.jpg File Attachment: calculus.jpg (5.69 KB)
This file has been downloaded 1107 time(s).
[Image: AndrewsStyle.png]
10-14-2006 07:58 PM
Profile E-Mail PM Web Find Quote Report
J-Thread
Full Member
***

Avatar

Posts: 467
Reputation: 8
– / Male / –
Joined: Jul 2004
RE: RE: Calculus integration problem. please help.
quote:
Originally posted by andrewdodd13
Well... the square root of x^2 1/x^2 is just x + 1/x isn't it?


No it isn't...

The square root of x * x = x... So the square root of x * x + a, where a > 0, is greater then x... Right?

When x > 0, 1 / (x * x) > 0, so the square root will be greater then x. You see?

The integral of that formula is hard to find... and it's been a while since I have been integrating formulas...
10-14-2006 08:07 PM
Profile E-Mail PM Find Quote Report
markee
Veteran Member
*****

Avatar

Posts: 1622
Reputation: 50
37 / Male / Flag
Joined: Jan 2006
RE: Calculus integration problem. please help.
Ok well I'm quite sure you have to use integration by parts. I will update this post when I get the answer for you.

EDIT: I had a go and it was terribly off, probably some little mistake somewhere.  Anyway instead of trying again I used Maple and it only gave me:

2*(x^3+1/x+x/(x^4+1))^(3/2)/(3*x^2-1/x^2+1/(x^4+1)-4*x^4/(x^4+1)^2)

That was after a bit of work of course.  Seemed it missed being able to do a reverse chain rule 8-).  I tried simplifying it but I couldn't find anything, maybe someone else can help.  I hope this helps you. 


This post was edited on 10-15-2006 at 03:13 AM by markee.
[Image: markee.png]
10-15-2006 02:01 AM
Profile PM Find Quote Report
John Anderton
Elite Member
*****

Avatar

Posts: 3896
Reputation: 80
38 / Male / Flag
Joined: Nov 2004
Status: Away
RE: Calculus integration problem. please help.
quote:
Originally posted by andrewdodd13
Well... the square root of x^2 1/x^2 is just x + 1/x isn't it?
wtf? :-/
If that were true most of the maths problems in the world would be solved in a few steps :dodgy:
[

KarunAB.com
]

[img]http://gamercards.exophase.com/459422.png[
/img]
10-15-2006 06:44 AM
Profile E-Mail PM Web Find Quote Report
Rubber Stamp
Senior Member
****

Avatar
It Was Never Random

Posts: 584
Reputation: 14
36 / Male / –
Joined: May 2004
O.P. RE: Calculus integration problem. please help.
i dont think this can be done by parts. i tried using it, but the expression we get inside the second integration sign is even more complicated than the question itself.
i tried substituting different forms of the expression, that hasnt helped me yet. i tried adding and substrating different terms like (x^3+1/x^3) to get some sort of differentiable term, but with not much success.
i even tried substituting trigonometric properties, but that doesnt help either.
10-15-2006 07:27 AM
Profile E-Mail PM Find Quote Report
Chrono
forum admin
*******

Avatar
;o

Posts: 6023
Reputation: 116
40 / Male / Flag
Joined: Apr 2002
Status: Away
RE: Calculus integration problem. please help.
have you tried changing variables like sen( u) = x ? Or maybe the good old Tan(x/2) ? i dunno it just looks like it could be possible with one of those, im too lazy to try now though :P maybe tomorrow

This post was edited on 10-15-2006 at 08:44 AM by Chrono.
10-15-2006 08:43 AM
Profile PM Web Find Quote Report
John Anderton
Elite Member
*****

Avatar

Posts: 3896
Reputation: 80
38 / Male / Flag
Joined: Nov 2004
Status: Away
RE: Calculus integration problem. please help.
quote:
Originally posted by Chrono
have you tried changing variables like sen( u) = x
sin wont do it. Bleh it could but i cba to work with (sin(u))^4 :P

quote:
Originally posted by Chrono
Or maybe the good old Tan(x/2) ?
Isnt that for places where you have trignometrics in the numerator and denominator?

I was thinking of something like x^2 = (sin(u))^2 or something like that. cba atm. mabbe after my exams :P
[

KarunAB.com
]

[img]http://gamercards.exophase.com/459422.png[
/img]
10-15-2006 01:46 PM
Profile E-Mail PM Web Find Quote Report
Rubber Stamp
Senior Member
****

Avatar
It Was Never Random

Posts: 584
Reputation: 14
36 / Male / –
Joined: May 2004
O.P. RE: Calculus integration problem. please help.
nups, i already tried various trigo properties, none work.
10-15-2006 04:22 PM
Profile E-Mail PM Find Quote Report
Pages: (4): « First [ 1 ] 2 3 4 » Last »
« Next Oldest Return to Top Next Newest »


Threaded Mode | Linear Mode
View a Printable Version
Send this Thread to a Friend
Subscribe | Add to Favorites
Rate This Thread:

Forum Jump:

Forum Rules:
You cannot post new threads
You cannot post replies
You cannot post attachments
You can edit your posts
HTML is Off
myCode is On
Smilies are On
[img] Code is On