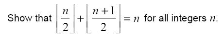
Hi,
I have a math question that I'm having trouble proving
I know it works for a few integers because I've tested it, but what I'm having problems with is proving that it works for all integers
Could anyone lend a hand and explain how i would prove this? (I'm assuming with proof by induction, but I suck at working out the inductive step

)