| Calculus integration problem. please help. |
| Author: |
Message: |
Vilkku
Veteran Member
    

Posts: 1411 Reputation: 27
37 / / 
Joined: Mar 2003
|
|
RE: Calculus integration problem. please help.
I don't have enough time to actually to solve it atm, but I think I know how I would attempt it.
int*(x + 1/x) * int*((x^2 + 1/x^2)^(1/2))
As I'm sure someone pointed out earlier.
1/x^2 indeed is 1/x. Try it with a number and put it in your calculator. Insttead of agruing about the square root part, why don't just fuse the expressions under the root to one? Might be more complicated, but at least you can't have different opinions then.
x^2 + 1/x^2 = (x^2 + 1) / x^2
Now of course, we will have the fun of realising there are no x outside the parenthesis, so we will have to divide and get some funky number, which I'm certaninly not arsed to do atm.
EDIT: As I wasn't sure about the thing you are arguing on, I decided just to comment it. Shouldn't it be possible just to take the square root of x^2, which is x, and the root of 1/x^2, which is 1/x, and then write it as x + 1/x and then int* that part?
This post was edited on 10-18-2006 at 05:02 AM by Vilkku.
|
|
| 10-18-2006 04:54 AM |
|
 |
Chrono
forum admin
      

;o
Posts: 6024 Reputation: 116
41 / / 
Joined: Apr 2002
Status: Away
|
RE: Calculus integration problem. please help.
quote: Originally posted by Vilkku
int*(x + 1/x) * int*((x^2 + 1/x^2)^(1/2))
you cant do that, lol
counterexample:
int x^2 =(X^3)/3
int x * int x = (x^4)/4
i tried to solve it earlier but didnt manage to get to an answer  i used to be good at those, but it's been a long time since i had to integrate a difficult expression
quote: Originally posted by Vilkku
EDIT: As I wasn't sure about the thing you are arguing on, I decided just to comment it. Shouldn't it be possible just to take the square root of x^2, which is x, and the root of 1/x^2, which is 1/x, and then write it as x + 1/x and then int* that part?
ew that's so wrong  you cant do that either...
This post was edited on 10-18-2006 at 05:02 AM by Chrono.
|
|
| 10-18-2006 05:01 AM |
|
 |
Vilkku
Veteran Member
    

Posts: 1411 Reputation: 27
37 / / 
Joined: Mar 2003
|
|
RE: RE: Calculus integration problem. please help.
|
|
| 10-18-2006 05:02 AM |
|
 |
J-Thread
Full Member
  

Posts: 467 Reputation: 8
– / / –
Joined: Jul 2004
|
RE: RE: Calculus integration problem. please help.
quote: Originally posted by Rubber Stamp
quote: Originally posted by J-Thread
How do you know it is solvable?
its from a set of question from a pretty respectable book.
I've got a pretty respectable book that asks if P=NP, but I didn't manage to solve that either
However, I think I have enough mathematical knowledge to solve this problem, but as I stated before, it a pretty tough one. A lot of people have failed... But when I have some spare time I will try to solve it 
|
|
| 10-18-2006 11:55 AM |
|
 |
andrewdodd13
Senior Member
   

Oh so retro
Posts: 869 Reputation: 16
36 / / 
Joined: Jan 2005
|
RE: RE: Calculus integration problem. please help.
quote: Originally posted by s7a5
never did this type of problem b4, and substitution technique doesnt seem to work for it so maybe that's how it goes:
we know that :
(x^2 + 1/x^2)^1/2 = (x + 1/x)
so we are left with:
S (x + 1/x) (x + 1/x)
multiply them we get:
S (x^2 + 2 + x^-2)
so the answer is:
1/3 x^3 + 2x - 1/x
Again Im not sure and didnt look for other ways to solve it, but who knows maybe I'm right
That's what I done.. (x^2 + 1/x^2) ^ 1/2 != (x+1/x)  .
Via parts, I get the following...
I don't think it's right, I cba differentiating it atm, because I'd then have to do something fancy to get it into its original form  .
However, I also don't think by parts will work because of the sqrt...
Attachment: bbd6c839ac3f52da6e483562a39aba9f.png (1.84 KB)
This file has been downloaded 552 time(s).
This post was edited on 10-18-2006 at 10:51 PM by andrewdodd13.
|
|
| 10-18-2006 10:50 PM |
|
 |
markee
Veteran Member
    

Posts: 1622 Reputation: 50
37 / / 
Joined: Jan 2006
|
RE: Calculus integration problem. please help.
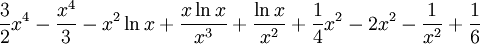
You sure the question wasn't (x + 1/x)(x^2 + 2 + 1/(x^2))^(1/2) ?
if that was the case then it would be simply the integral of (x + 1/x)^2 but without that +s under the quareroot it makes it almightily difficult. Or even if (x + 1/x) was replaced with the derivative of (x^2 + 1/(x^2)). I'll keep trying my best to get an answer, I got something at home but it's a bit ugly and I have to check with it's derivative just to make sure I did it right but I didn't want to just yet because of it's ugliness 
|
|
| 10-18-2006 11:45 PM |
|
 |
J-Thread
Full Member
  

Posts: 467 Reputation: 8
– / / –
Joined: Jul 2004
|
|
RE: Calculus integration problem. please help.
I tried and I thought I had the good idea, but I came this far (see attachement). Now I'm stuck again...it is really a difficult one!
Attachment: msgplus.rar (31.92 KB)
This file has been downloaded 300 time(s).
|
|
| 10-21-2006 05:52 AM |
|
 |
Chrono
forum admin
      

;o
Posts: 6024 Reputation: 116
41 / / 
Joined: Apr 2002
Status: Away
|
RE: Calculus integration problem. please help.
haha i did the exact same thing, that was actually my first try  .
The file's nice, but you did way too many steps. You could have done it in three lines. it's too tedious to read all that 
This post was edited on 10-21-2006 at 06:02 AM by Chrono.
|
|
| 10-21-2006 05:59 AM |
|
 |
markee
Veteran Member
    

Posts: 1622 Reputation: 50
37 / / 
Joined: Jan 2006
|
RE: Calculus integration problem. please help.
I did the same thing in about as many steps as chrono. Will post my steps from there.
EDIT: Here are my steps to follow on...
code: dy/dx = int( (x^4 + 2x^2 + 2 + 2/x^2 + 1/x^4)^1/2 ) what you had
y = (x^4 + 2x^2 + 2 + 2/x^2 + 1/x^4)^3/2 reversal of the chain rule
3/2 * (4x^3 + 4x - 4/x^3 - 4/x^4)
y = (x^4 + 2x^2 + 2 + 2/x^2 + 1/x^4)^3/2 simplified somewhat
6 * (x^3 + x - 1/x^3 - 1/x^4
see why I wanted to simplify it a bit.....
This post was edited on 10-21-2006 at 03:04 PM by markee.
|
|
| 10-21-2006 02:27 PM |
|
 |
J-Thread
Full Member
  

Posts: 467 Reputation: 8
– / / –
Joined: Jul 2004
|
RE: RE: Calculus integration problem. please help.
quote: Originally posted by Chrono
The file's nice, but you did way too many steps. You could have done it in three lines. it's too tedious to read all that 
That's just what you like or not. I am used to writing my steps down as clear as possible. Especially when I am proving something, I like to do easy steps that everybody can check. If no step is wrong, I have proved the fact I wanted to prove.
When I do "bigger" steps, the prove will be a bit hard to follow. Of course I see the bigger steps myself, but I know that not everybody does.
However, it seems like this trick also didn't work. I honestly begin to believe that there isn't a solution to this problem, but I can't prove it yet. And I guess it would be easier to solve a problem (if a solution exists) then proving that no solution exists...
|
|
| 10-22-2006 12:05 PM |
|
 |
|
Pages: (4):
« First
«
1
2
[ 3 ]
4
»
Last »
|
|
|